36亿年前就存在于自然界的具有光合生命的多细胞水生植物,螺旋藻是一种有36亿年生命史的“活化石”,属蓝藻类,呈青绿色,在显微镜下观察体形呈螺旋状,故名螺旋藻。
20世纪大发现——神奇的螺旋藻
1940年,法国药物学家克莱( Creach )博士在非洲撒哈拉大沙漠乍得湖畔,发现当地土著佳尼姆人普遍长寿,身体健康而结实,究其原因这些部落的人自古就有食用藻类的习惯,他们用传统的方式从湖面捞取一种绿色漂浮物,直接拌以辣椒及香料作酱食用,或置于沙滩上晒成干品食用。
这种漂浮物就是一种螺旋形状的藻类——螺旋藻。于是他率先将螺旋藻带进了实验室,立即引起了世界科研人员的极大关注。进入60年代以后,研究力度加大,人们开始开发和利用这种神奇的东西。
螺旋藻:21世纪理想的营养食品
螺旋藻的奇妙之处在于它们介乎动物界与植物界之间的一种低等的生命形式,属于微生物。然而,螺旋藻所制造的营养物却远远超出了人们的想象。
1975年,在G.克勒门教授等人公布了对于螺旋藻的全面研究报告后,让全世界的生物科学家们更加感到振奋,尤其令人惊讶的是:
这种绿色的微藻类生物,居然是一种全价营养物,其蛋白质含量竟在60%-70%,相当于大豆的2倍,牛肉的3.5倍,鸡蛋的4倍,且其所含人体必需氨基酸的种类齐全、组成合理。
更令人称奇的是,它还含有丰富的维生素、多糖、不饱和脂肪酸及多种重要的矿物质元素。科学家们惊叹道:这简直就像是大自然早就为地球人珍藏好的一种原生态超级“营养包”。
奇特的螺旋藻,给当时全世界饥饿的人们带来了希望。20世纪80年代,在一次世界食物供需大会上,专家们紧急呼吁:螺旋藻将是人类食物的巨大潜力资源。
联合国粮农组织(FAO)更是向发展中国家推荐:螺旋藻作为一种高蛋白的营养资源,是成年人和儿童的营养补充剂,可以克服因单一营养而产生的食物营养缺乏症,并称其是“人类理想优秀的食品”。不仅如此,螺旋藻因其全面均衡的营养和极高的防病保健价值,同时被美国和欧洲局推荐为长期执行太空任务人员的主要食品之一。
螺旋藻为行业发展按下“加速键”
随着人们生活水平不断提高、营养意识不断加强、科学飞速发展,螺旋藻引起了世界许多国家的极大关注,并掀起了开发热潮。现阶段国内外研究螺旋藻方向多为食品、饲料、药品等,而单独提取螺旋藻中含有的各种营养成分,制作更加精良的食品或者添加剂已成为健康产业新的发展趋势,未来将走进千家万户。
据Credence Research数据显示,2018年全球藻类产品市场价值339亿美元,预计到2027年将达到565亿美元,复合年增长率为6.0%。而在藻类产品中,螺旋藻占据了非常高的市场份额,占市场收入超过50%。
颜值+实力赋予了螺旋藻发展的新机遇,Global Market Insights预测,2026年藻类蛋白市场收入将达到10亿美元,细分来看,全球螺旋藻市场的复合年增长率预计约为10%,估值20亿美元。
《国民营养计划(2017-2030)》指出,到2030年,全国居民膳食中要减少50%的动物蛋白摄入量,减少的动物蛋白以植物蛋白替代,螺旋藻等藻类蛋白是重要的替代选择之一。
预计未来几年,藻类蛋白市场大幅增长,螺旋藻等藻类蛋白将为产业高质量发展按下“加速键”。而提取纯化技术的进步也将为产业高质量发展“加力增效”。
螺旋藻肽功能特性研究进展
螺旋藻(Spirulina)属于原核生物,是蓝藻门颤藻科螺旋藻属。螺旋藻是一种具有光合作用、螺旋状、丝状、多细胞的蓝绿藻,含有60-70%的优质蛋白质、必需氨基酸、维生素、必需脂肪酸、维生素a原(β-胡萝卜素)等营养成分。螺旋藻具有广泛的生物活性和保健功能。此外,螺旋藻以其抗氧化能力而著称,这在体外和体内研究中都得到了证实[2]。
螺旋藻是藻蓝蛋白的更佳来源,除了其营养价值,螺旋藻也被用于化妆品的应用,自2003年以来被认为是一种公认的安全成分(FDA)。螺旋藻的这些特性,结合其广泛传播的栽培技术、可持续生产和商业普及,使其成为一种有吸引力的生物活性肽的开发和生产来源。表1列出了从螺旋藻生物量中提取的具有六种不同生物活性的特异性肽的新研究[3]。

螺旋藻生物活性肽
一、螺旋藻多肽的抗氧化活性研究
通过超滤、凝胶过滤层析和RP-HPLC-ESI-MS/MS对钝顶螺旋藻的水解产物中的一种新型抗氧化肽Pro-Asn-Asn(343.15 Da)进行了纯化和鉴定。纯化后肽的DPPH自由基清除率(100 μg/mL时为81.44±0.43%)与谷胱甘肽相似,其超氧阴离子和羟基自由基清除率及超氧化物歧化酶活性表明合成肽具有良好的抗氧化能力。研究发现表明钝顶螺旋藻是制备抗氧化肽的良好来源,并且钝顶螺旋藻的水解产物在制药和食品工业中具有重要的应用[2]。

图1 纯化肽、合成肽和还原型谷胱甘肽的自由基清除活性
二、 螺旋藻多肽的抗高血压活性研究
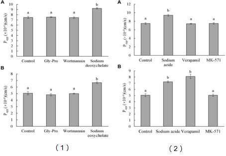
从食品蛋白质中提取的生物活性肽因其安全性和对健康的积极影响而被认为是潜在的理想降压产品。IQP和VEP是从螺旋藻中提取的2种ACE抑制肽,螺旋藻是一种营养丰富、具有多种生理功能的食用蓝藻。然而,这些活性肽必须被完整地通过肠上皮吸收,才能在体内发挥作用。Yuan-Yuan He等人研究探讨了IQP和VEP的经上皮转运机制。这有助于螺旋藻的降压作用研究和生物活性肽产品的开发[4]。

图2 (1)Gly-Pro、渥曼青霉素和脱氧胆酸钠对IQP和VEP通过Caco-2细胞单层转运的影响; (2)叠氮化钠、维拉帕米和MK-571对IQP和VEP通过Caco-2细胞单层转运的影响
三、螺旋藻多肽降糖活性研究
从螺旋藻中提取的生物活性肽,其中三种肽GVPMPNK(GK)、RNPFVFAPTLLTVAAR(RR)和LRSELAAWSR(LR)具有对α-淀粉酶、α-葡萄糖苷酶和二肽基肽酶-4 (DPP-IV)的抑制潜力。这些肽可用于开发抗2型糖尿病的食品和药物中的新型健康促进成分[5]。

作为我国保健食品行业中较早实现产业化及全球化的品类,螺旋藻一路见证了中国保健食品市场几十年的坎坷发展。从行业乱象丛生,到市场逐渐规范,螺旋藻已经逐渐成长为大健康产业中不可忽视的重要组成部分,尤其是随着《健康中国2030规划纲要》《国民营养计划(2017-2030年)》的落地,富含优质蛋白和多种营养素的螺旋藻迎来了又一个发展黄金期。
参考文献:
[1] 孙宜君. 螺旋藻抗菌肽的纯化鉴定及其抑菌机理的研究[D].北京林业大学,2016.
[2] Yu J , Hu Y , Xue M , et al. Purification and Identification of Antioxidant Peptides from Enzymatic Hydrolysate of Spirulina platensis[J]. J Microbiol Biotechnol, 2016, 26(7): 1216-1223.
[3] Ovando C A, Carvalho J C D, Vinícius De Melo Pereira G, et al. Functional properties and health benefits of bioactive peptides derived from Spirulina: A review[J]. Food Reviews International, 2018, 34: 34-51.
[4] He Y Y , Li T T , Chen J X , et al. Transport of ACE Inhibitory Peptides Ile-Gln-Pro and Val-Glu-Pro Derived from Spirulina platensis Across Caco-2 Monolayers[J]. Journal of food science, 2018, 83(10-12):págs. 2586-2592.
[5] rulina platensis[J]. Journal of Functional Foods, 2019, 56:333-341.
声明:转载此文是出于向母婴行业传递更多信息之目的。若有来源标注错误或侵犯了您的合法权益,请作者持权属证明与本网联系,我们将及时更正、删除,谢谢。联系方式:168466559@qq.com



长按扫码 阅读原文


